Предмет: Алгебра,
автор: gudandplay
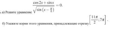
Как найти ОДЗ? (полностью решать не нужно)
Приложения:
Ответы
Автор ответа:
1
Ответ:
Выражение под корнем и в знаменатель строго больше нуля. Решаем так же, как обычное неравенство. Сначала приравниваем к 0, находим корни. Получили два числа. Рисуем окружность и подставляем любое число, входящее в промежуток, в неравенство (все то же самое, как в обычном неравенстве). Смотрим - положительно, отрицательно -> ставим знак на окружности. Готово
Приложения:
Похожие вопросы
Предмет: Русский язык,
автор: Аноним
Предмет: Русский язык,
автор: svetik2906
Предмет: Русский язык,
автор: marta2727
Предмет: Геометрия,
автор: ynatrots104