Предмет: Математика,
автор: DeathblowOJ
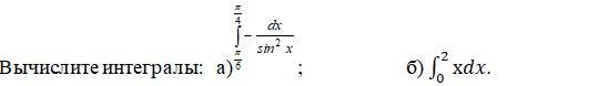
Вычислите интегралы. Задание прикреплено.
Приложения:
Ответы
Автор ответа:
0
Ответ:
а) 1-√3
б) 2
Пошаговое объяснение:
а) ctg(x)
ctg (π/4) - ctg (π/6) = 1-√3
б) х²/2
4/2 - 0 = 2
Похожие вопросы
Предмет: Английский язык,
автор: polinapomazkin
Предмет: Русский язык,
автор: aleksrozanovro
Предмет: Русский язык,
автор: hfccrfp
Предмет: Музыка,
автор: mgam56
Предмет: Химия,
автор: оly