Предмет: Математика, автор: kocenich

Помогите решить уравнение, поможете

Приложения:

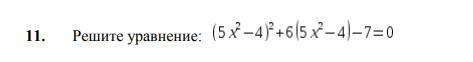
lobafka: t=5x^2-7
t^2+6t-7=0
t=-7
t=1
5x^2-4=-7
5x^2-4=1
x(1)=-1
x(2)=1

Ответы

Автор ответа: vityamath
0

Пошаговое объяснение:

Решение на фотке ......

Приложения:
Похожие вопросы
Предмет: Русский язык, автор: shirrokova
Помогите пожалуйста:3
Надо доказать ,что это публицистический стиль текста!
____________________________
Почему не поднимаете вы властного голоса против безумия, грозящего окутать мир облаком отравы? Каждый миг под косою смерти падает где-нибудь человек и каждый миг в каком-нибудь другом уголке земли женщина, торжествуя победу над стихией разрушения, дарует миру нового человека… Матери! Жены! Вам принадлежит голос, вам принадлежит право творить на земле закон. (По М. Горькому.)любой текст из журналов, газет подойдет))

Что значит быть воспитанным? Воспитанный человек... Если о вас скажут такое, считайте, что удостоились похвалы. Так что же такое воспитанность? Это не только хорошие манеры. Это нечто более глубокое в человеке. Быть воспитанным значит быть внимательным к другому, деликатным, тактичным, скромным. Мне представляется, что таким был артист Художественного театра Василий Иванович Качалов. Он непременно запоминал все имена и отчества людей, с которыми встречался. Он уважал людей и всегда интересовался ими. При нем каждая женщина чувствовала себя привлекательной, достойной заботы. Все ощущали себя в его присутствии умными, очень нужными. Однажды поздно вечером Василий Иванович увидел две странные женские фигуры. Это оказались слепые, которые заблудились. Качалов немедленно предложил им свои услуги, проводил до трамвая, помог сесть в вагон. Корни этого поступка не просто в знании хорошего тона, а в сердечности и доброте к людям. Значит, все дело в мыслях и побуждениях. А знание норм поведения только помогает проявлению внутренней доброты и человечности. (По С. Гиацинтовой)
Спасибо большое:3
Предмет: Русский язык, автор: koreevdaniil20