Предмет: Алгебра, автор: sashasluzhaev2001

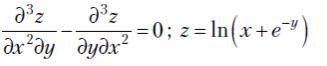
Проверить, удовлетворяет ли указанному уравнению с частными производными данная функция.

Приложения:

mrnfdrva: Спокойней будь
sashasluzhaev2001: Напишите решение.

Ответы

Автор ответа: Аноним
1

Ответ:

z=ln(x+e^(-y))

dz/dx=1/(x+e^(-y))*(x+e^(-y))'=1/(x+e^(-y))

d2z/dx2=((x+e^(-y))^(-1))'=-(x+e^(-y))^(-2)*(x+e^(-y))'=-1/(x+e^(-y))^2

d3z/dx2dy=(-(x+e^(-y))^(-2))'=-(-2(x+e^(-y)))^(-3)*(x+e^(-y))'=2(x+e^(-y))^(-3)*(-e^(-y))=-2e^(-y)/(x+e^(-y))^3

dz/dy=1/(x+e^(-y))*(x+e^(-y))'=1/(x+e^(-y))*(-e^(-y))=-e^(-y)/(x+e^(-y))

d2z/dydx=(-e^(-y)*(x+e^(-y))^(-1))'=-e^(-y)*((x+e^(-y))^(-1))'=

-e^(-y)*(-((x+e^(-y))^(-2)))*(x+e^(-y))'=e^(-y)/(x+e^(-y))^2

d3z/dydx2=(e^(-y)/(x+e^(-y))^2)'=e^(-y)((x+e^(-y))^(-2))'=

e^(-y)*(-2((x+e^(-y))^(-3)))*(x+e^(-y))'=-2e^(-y)/(x+e^(-y))^3

и все

-2e^(-y)/(x+e^(-y))^3-(-2e^(-y)/(x+e^(-y))^3)=-2e^(-y)/(x+e^(-y))^3+2e^(-y)/(x+e^(-y))^3=0

Объяснение:

Автор ответа: NNNLLL54
1

z=ln(x+e^{-y})\\\\\dfrac{\partial z}{\partial x}=\dfrac{1}{x+e^{-y}}\ \ \ ,\ \ \ \ \dfrac{\partial ^2z}{\partial x^2}=\dfrac{-1}{(x+e^{-y})^2}\\\\\\\dfrac{\partial ^3z}{\partial x^2\partial y}=\dfrac{2(x+e^{-y})\cdot e^{-y}\cdot (-1)}{(x+e^{-y})^4}=-\dfrac{2\cdot e^{-y}}{(x+e^{-y})^3}

\dfrac{\partial z}{\partial y}=\dfrac{-e^{-y}}{x+e^{-y}}\ \ \ ,\ \ \ \dfrac{\partial ^2z}{\partial y\partial x}=\dfrac{-(-e^{-y})\cdot 1}{(x+e^{-y})^2}=\dfrac{e^{-y}}{(x+e^{-y})^2}\\\\\\\dfrac{\partial ^3z}{\partial y\partial x^2}=\dfrac{-e^{-y}\cdot 2(x+e^{-y})}{(x+e^{-y})^4}=-\dfrac{2\cdot e^{-y}}{(x+e^{-y})^3}

\dfrac{\partial ^3z}{\partial x^2\partial y}-\dfrac{\partial ^3z}{\partial y\partial x^2}=-\dfrac{2e^{-y}}{(x+e^{-y})^3}+\dfrac{2e^{-y}}{(x+e^{-y})^3}=0\\\\\\\star \ \ (lnu)'=\dfrac{u'}{u}\ \ ,\ \ \ \ \Big(\dfrac{C}{u}\Big)'=\dfrac{-C\cdot u'}{u^2}\ \ \star

Похожие вопросы
Предмет: Математика, автор: 25791247