Предмет: Математика,
автор: ilyindens
МАТЕМАТИКА! 30 БАЛЛОВ! НАЙТИ КОРНИ УРАВНЕНИЯ! ЛОГАРИФМЫ!
Приложения:
Ответы
Автор ответа:
1
Ответ:
3
Пошаговое объяснение:
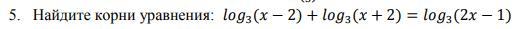
log3(x-2)+log3(x+2)=log3(2x-1)
ODZ;
X-2>0 ⇒ x>2
x+2>0 x>-2
2x-1>0 x>1/2 ⇒ x>2 ⇔ ODZ: x∈(2 ; +∞)
log3((x-2)(x+2))=log3(2x-1)
log3(x²-4)=log3(2x-1)
x²-4=2x-1
x²-4-2x+1=0
x²-2x-3=0
D=4+12=16
√16=4
x=(2±4)/2=3 ; -1
-1 не подходит по ОДЗ!
Похожие вопросы
Предмет: Қазақ тiлi,
автор: VM18092000
Предмет: Русский язык,
автор: Аноним
Предмет: Қазақ тiлi,
автор: ФомаПсих
Предмет: Математика,
автор: Irina180501