Предмет: Алгебра,
автор: Танькаа
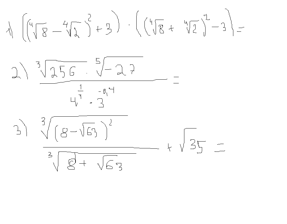
ребятки, помогите с корнями пожалуйста
Приложения:
Ответы
Автор ответа:
0
Смотри фото решение на листе добавлю
Приложения:
Автор ответа:
0
11
Автор ответа:
0
Ну извени тогда ты должна понемать
Похожие вопросы
Предмет: Українська мова,
автор: sashokzayaz254
Предмет: Математика,
автор: dariya0150
Предмет: Алгебра,
автор: Sejera
Предмет: Алгебра,
автор: GW08