Предмет: Химия,
автор: dreyxcompany1
4 вариант. ПОЖАЛУЙСТА ПОМОГИТЕ ЗАДАНИЕ ПО ХИМИИ 10-11 КЛАСС.
Приложения:
Ответы
Автор ответа:
1
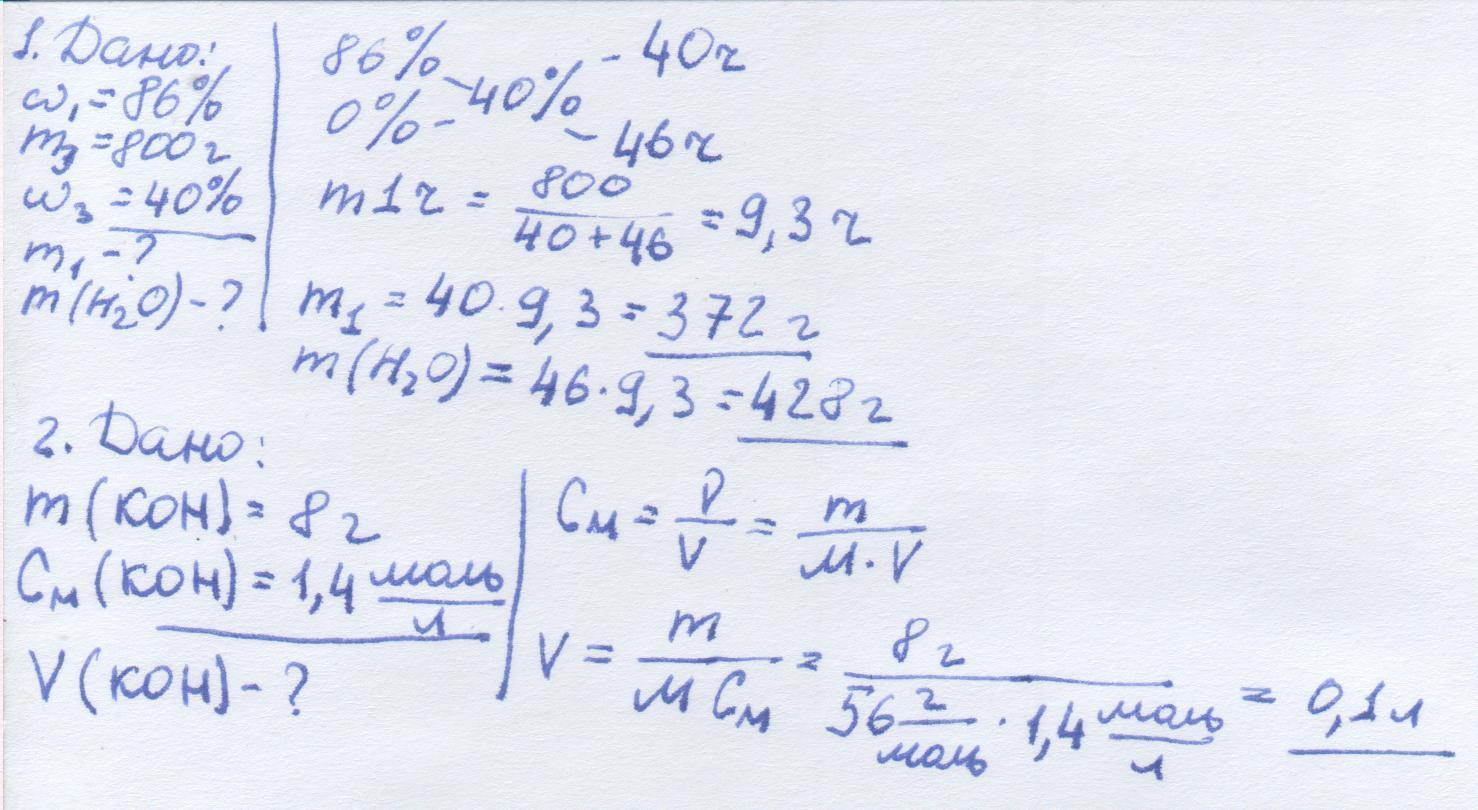
Ответ:
1. m1=372г
m(H2O)=428г
2. V=0,1л
Объяснение:
Приложения:
Похожие вопросы
Предмет: Русский язык,
автор: milenabrahamya
Предмет: Другие предметы,
автор: e35
Предмет: Русский язык,
автор: DashaParfenenko2004
Предмет: Математика,
автор: alushagr
Предмет: Математика,
автор: Лера13112006