Предмет: Математика,
автор: Tezuka
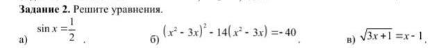
Решите задание по математике. Задание на картинке
Приложения:
Ответы
Автор ответа:
1
а) решение:
б)решение:по фото
в)
третий уравнения невозможно решить
Приложения:
Похожие вопросы
Предмет: Русский язык,
автор: FigF38
Предмет: Русский язык,
автор: beliv
Предмет: Русский язык,
автор: janastia
Предмет: Математика,
автор: LenaHoran