Предмет: Математика,
автор: Аноним
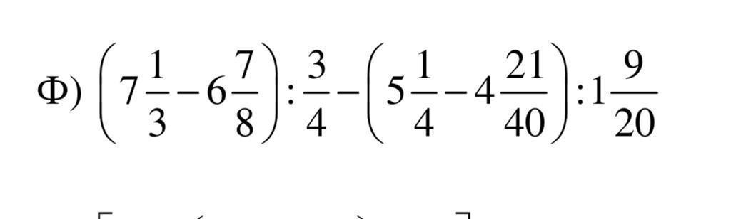
Сделайте пожалуйста до 19:00
Приложения:
Ответы
Автор ответа:
2
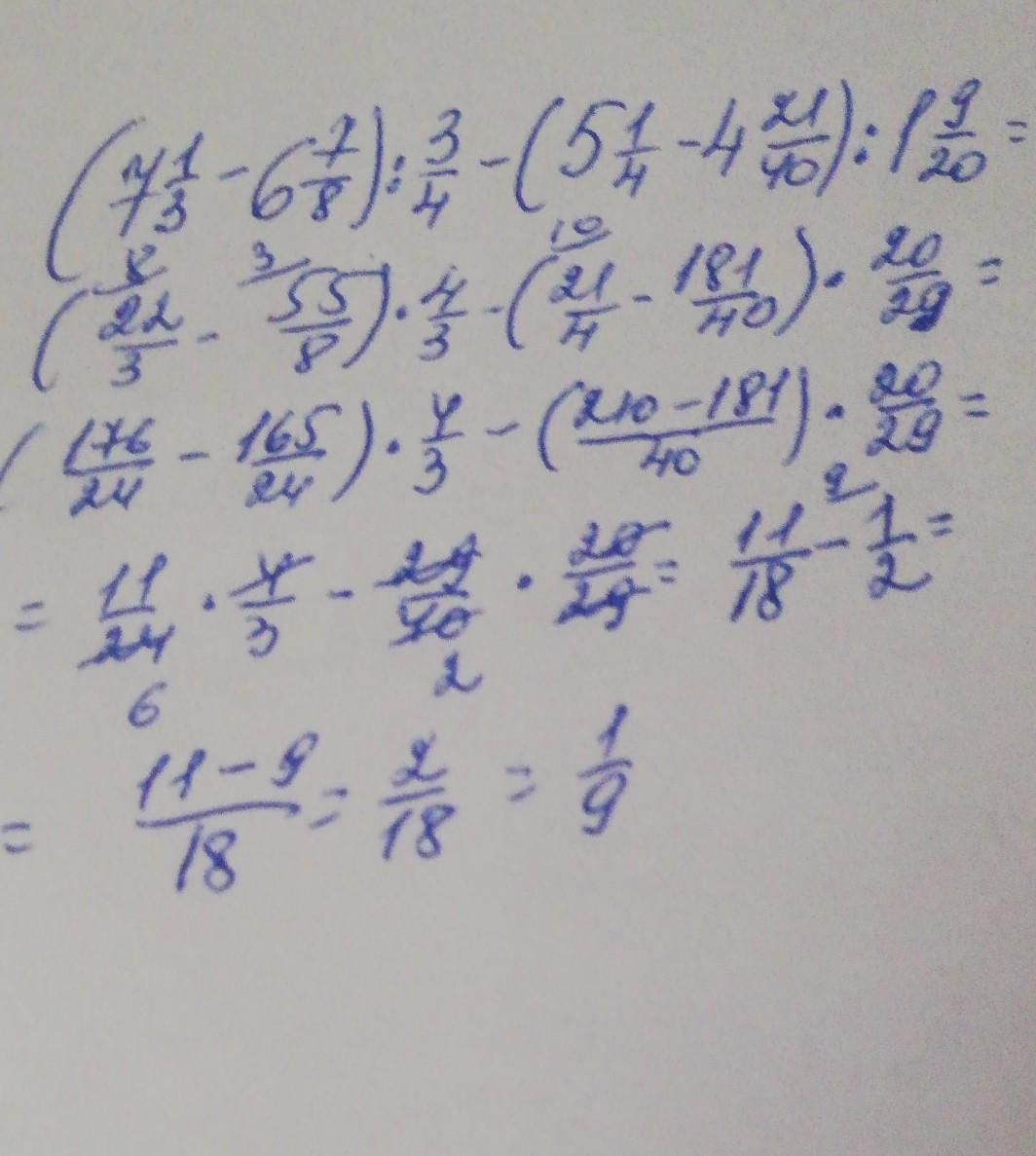
Ответ абсолютно правильный) Все по порядку)
Приложения:
Автор ответа:
1
Ответ:
1/9
Пошаговое объяснение:
Смотри фото решения выше
Приложения:
Похожие вопросы
Предмет: Українська мова,
автор: innasergee
Предмет: Русский язык,
автор: KateMH
Предмет: Другие предметы,
автор: 1979NJ
Предмет: Математика,
автор: Ychitel11