Предмет: Математика,
автор: pito4ok2004
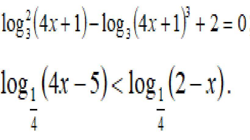
Решите логарифмические уравнения и неравенства: 1 и 2
Приложения:
Ответы
Автор ответа:
0
..............................
Приложения:
Похожие вопросы
Предмет: Українська мова,
автор: Ivanova87
Предмет: Қазақ тiлi,
автор: geyst85
Предмет: Английский язык,
автор: YanaShaih
Предмет: Геометрия,
автор: Санякокоок
Предмет: Математика,
автор: glycolol