Предмет: Математика,
автор: dukuu1998
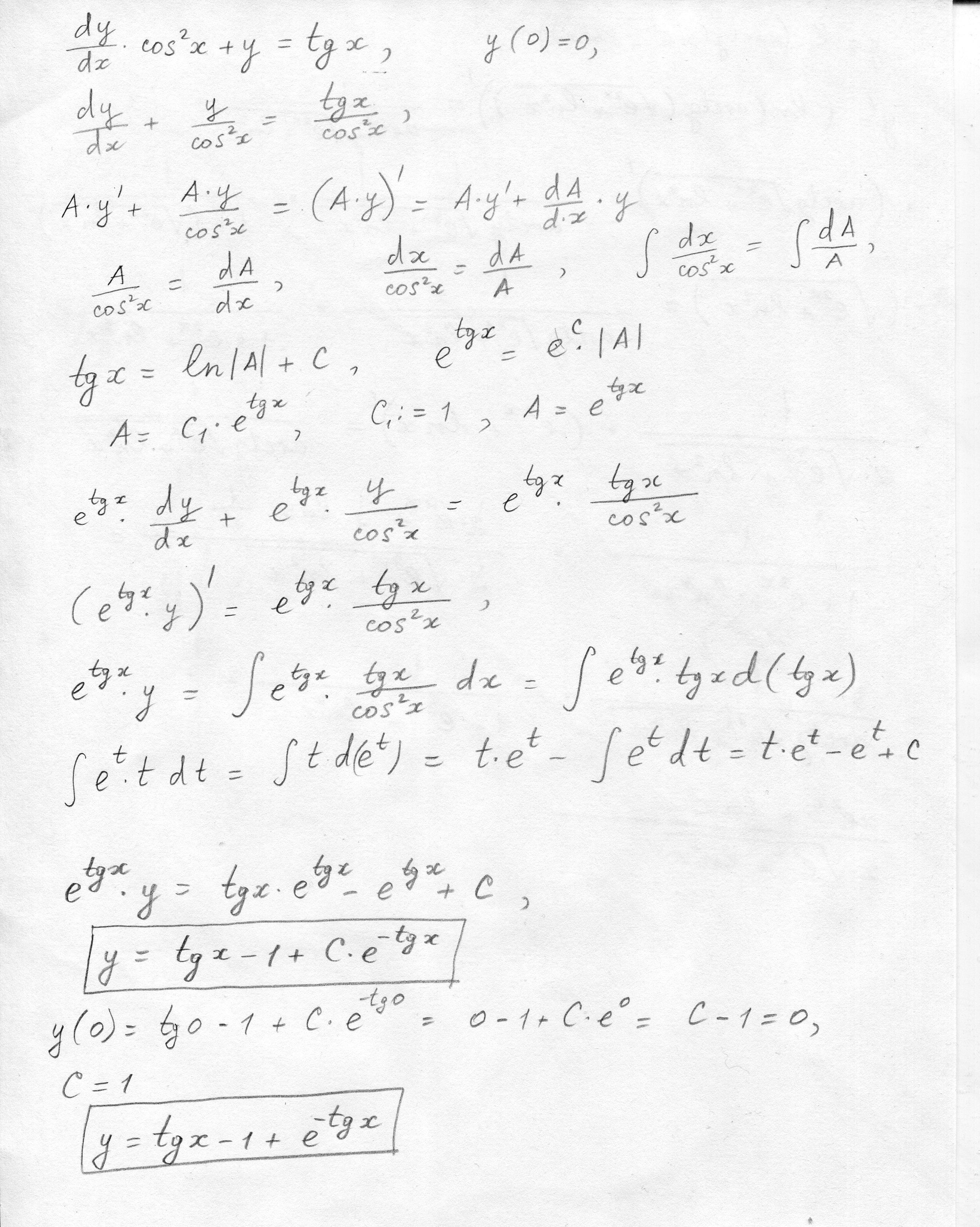
Решить задачу Коши: dy/dx*cos^2x+y=tg(x) ; y(0)=0
Ответы
Автор ответа:
1
я написал решение на листочке ===>>
Приложения:
Похожие вопросы
Предмет: Русский язык,
автор: Horan1
Предмет: Русский язык,
автор: tuneca
Предмет: Русский язык,
автор: yaechk2013
Предмет: Математика,
автор: gekktsteam
Предмет: Информатика,
автор: марьям90