Предмет: Математика, автор: oliviakanina

Пожалуйста нужно подробное решение 10 баллов

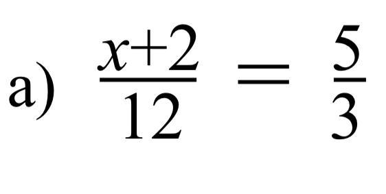
Приложения:

barsikplay05: X+2*3=5*12
cawacoolman: тут відповідь x=54 .

Ответы

Автор ответа: ktkmaria
0

Відповідь:

x=18

Покрокове пояснення:

\frac{x+2}{12}  = \frac{5}{3}, делаем пропорцию:

3(x+2) = 5*12\\3x+6=60\\3x=60-6\\3x=54\\x=18

Автор ответа: cawacoolman
0

Ответ:

18

Пошаговое объяснение:

Перехресне множення .

3(x+2)= 12*5

3x+6 = 60

3x= 54

x= 54: 3

x= 18

Перевірка : 20 :12 (скорочується на 4) = 5:3

5:3 = 5:3 ( все правильно )

Похожие вопросы
Предмет: Математика, автор: АртемошкаП