Предмет: Алгебра,
автор: natalilozhenitsyna
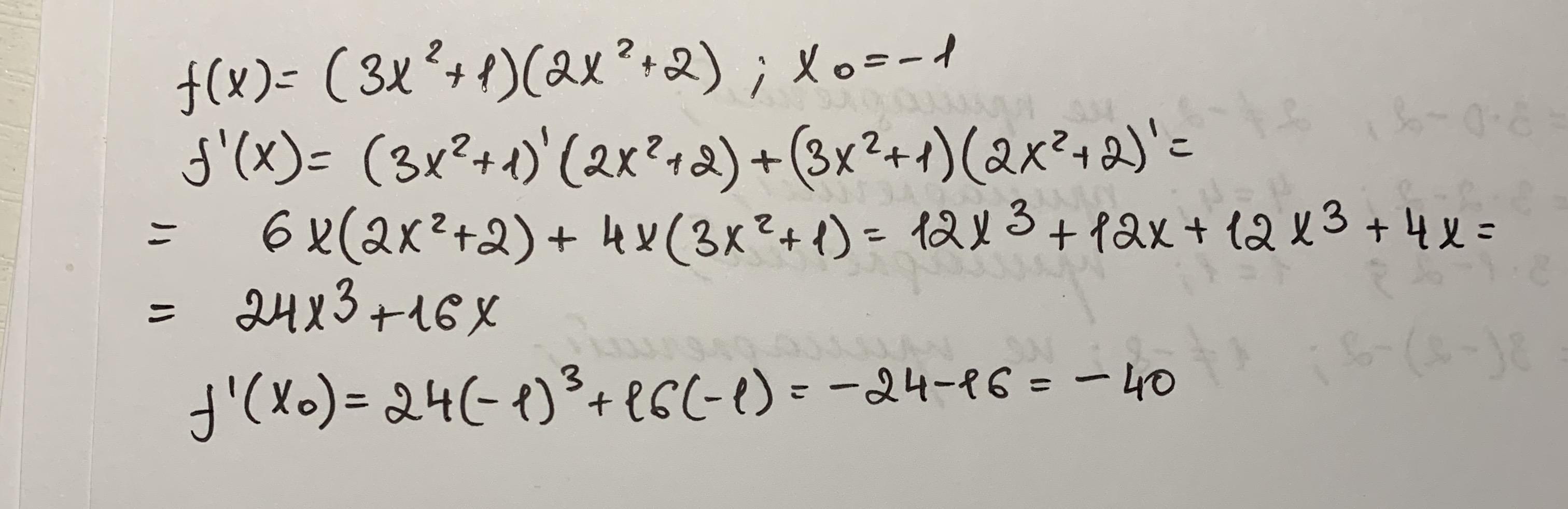
Найти значение производной в точке x0=−1, если:f (x)=(3x2+1)(2x2+2).
Ответы
Автор ответа:
0
Ответ: -40
Подробнее во вложении:
Приложения:
Похожие вопросы
Предмет: Русский язык,
автор: verona74
Предмет: Русский язык,
автор: 1782
Предмет: Українська мова,
автор: sas4481
Предмет: Литература,
автор: MA10122000
Предмет: Математика,
автор: Frenchesku