Предмет: Математика,
автор: paveldychk
помогите с задачами нужно срочно очень
Приложения:
Ответы
Автор ответа:
0
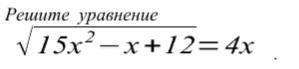
1. 3
2. x э (-3;0) U (6, +”знак бесконечности»)
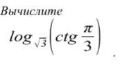
3.-1
2. x э (-3;0) U (6, +”знак бесконечности»)
3.-1
paveldychk:
а как ты получил ответы?
Похожие вопросы
Предмет: Английский язык,
автор: НШмидт
Предмет: Английский язык,
автор: Аноним
Предмет: Русский язык,
автор: DeadIrina
Предмет: Математика,
автор: Аноним
Предмет: Биология,
автор: liza230526