Предмет: Математика,
автор: venomrise20
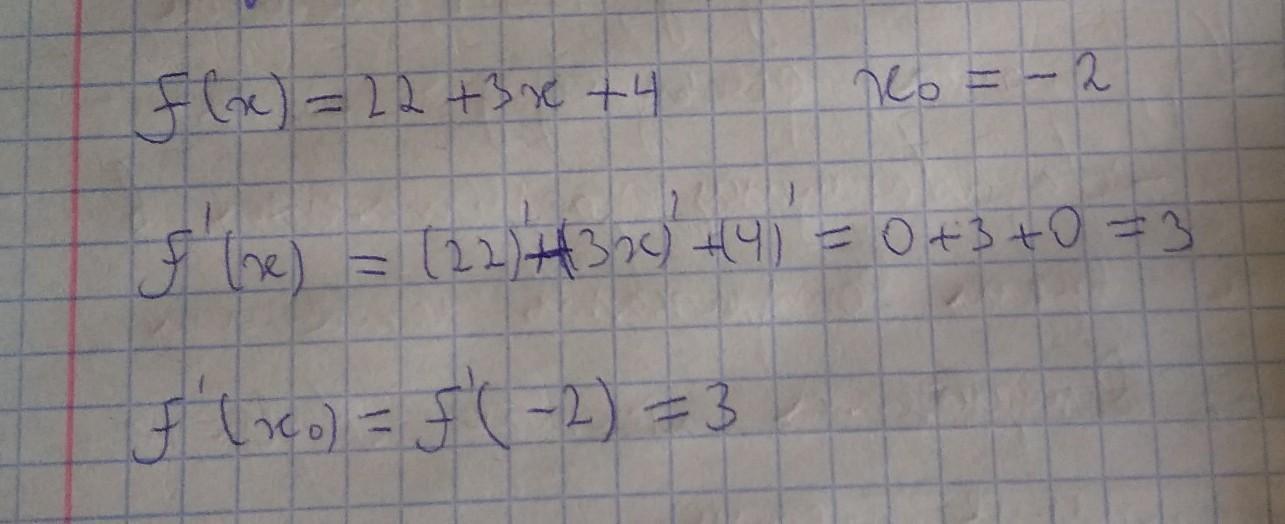
Помогите решить :( Найдите производную функции ()=22+3х+4 в точке х0=−2.
Ответы
Автор ответа:
1
Ответ:
3
Пошаговое объяснение:
На фотографии.
Кажется вы что-то пропустили после 22. Если это так, то напишите в комментариях к этому ответу, что пропустили, я решу ещё раз, но уже с этим пропущенным числом.
Приложения:
Похожие вопросы
Предмет: Русский язык,
автор: annak82
Предмет: Русский язык,
автор: kuzinamila
Предмет: Русский язык,
автор: dnilka686
Предмет: Математика,
автор: sipkina12
Предмет: Геометрия,
автор: Sofiii09092003