Предмет: Математика, автор: mikhailgudkov9022

вычислить площадь фигуры ограниченной линиями y=6x^2 y=2x^3

Ответы

Автор ответа: Decoration
1

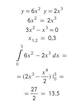
Ответ:

Пошаговое объяснение:

Приложения:
Автор ответа: NNNLLL54
2

y=6x^2\ \ ,\ \ y=2x^3\\\\6x^2=2x^3\  \,\ \ 2x^3-6x^2=0\ \ ,\ \ 2x^2(x-3)=0\ \ ,\ \ x_1=0\  ,\ x_2=3\\\\S=\int\limits^3_0\, (6x^2-2x^3)\, dx=\Big(2x^3-\dfrac{x^4}{2}\Big)\Big|_0^3=2\cdot 27-\dfrac{1}{2}\cdot 81=\dfrac{27}{2}=13,5

Похожие вопросы