Предмет: Геометрия,
автор: Аноним
СРОЧНО НУЖНО
В2. Найдите точку минимума функции: y=x^3+3x^2-9x-10.
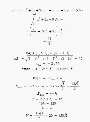
В3. Определите площадь фигуры, ограниченной линиями:
y=x^2+6x+9, x=-5, x=-1, y=0 (Ox).
В4. Найдите неизвестную координату точки А, если длина вектора (AB) ̅ равна 10:
A (x; 5; 3); B (6; -1; 3).
В5. В прямом параллелепипеде стороны основания равны 3 и 5 см, угол между ними 60⁰. Определите объем параллелепипеда, если площадь его боковой поверхности равна 320 〖см〗^2.
Ответы
Автор ответа:
5
Ответ:
Ответ на картинке
Объяснение:
Приложения:
Decoration:
В6 нету
а рисунок В5 уже отправила
Похожие вопросы
Предмет: Английский язык,
автор: oksanazykova
Предмет: Русский язык,
автор: aru328
Предмет: Русский язык,
автор: a1a1a1a12
Предмет: Геометрия,
автор: medvedovskaya
Предмет: Математика,
автор: IRINAMAKX