Предмет: Математика,
автор: Аноним
СРОЧНО НУЖЕН ОТВЕТ!!!
Приложения:
Ответы
Автор ответа:
0
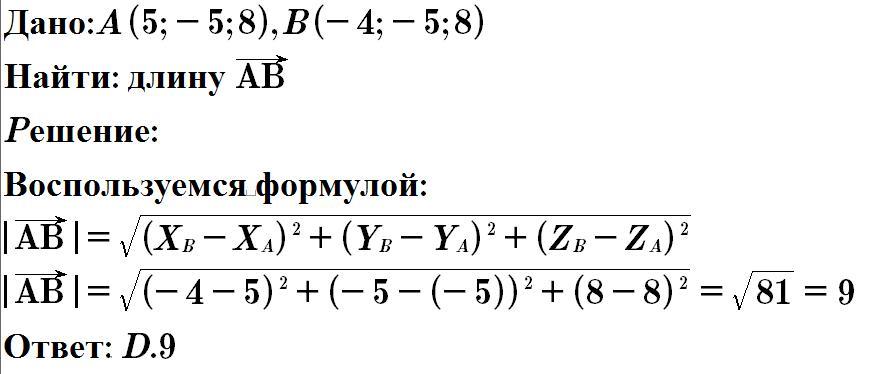
Ответ:
D.9
Пошаговое объяснение:
Приложения:
Автор ответа:
0
Ответ:
Пошаговое объяснение:
Модуль вектора вычислим так :
Похожие вопросы
Предмет: Русский язык,
автор: AvErLiN
Предмет: Қазақ тiлi,
автор: Jlol
Предмет: Қазақ тiлi,
автор: kepich1970
Предмет: Физика,
автор: assassin2828
Предмет: Математика,
автор: Техо