Предмет: Математика,
автор: volconok228
Помогите решить неравенство, пожалуйста
Приложения:
Ответы
Автор ответа:
3
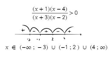
Ответ:
Пошаговое объяснение:
Приложения:
Похожие вопросы
Предмет: Русский язык,
автор: polinakashina
Предмет: Русский язык,
автор: 24091978
Предмет: Русский язык,
автор: Agolini
Предмет: Математика,
автор: niemchinova
Предмет: Математика,
автор: артемка3332