Предмет: Алгебра,
автор: fdmignonfiodnvioerge
Решите систему линейных уравнений
Приложения:
Ответы
Автор ответа:
1
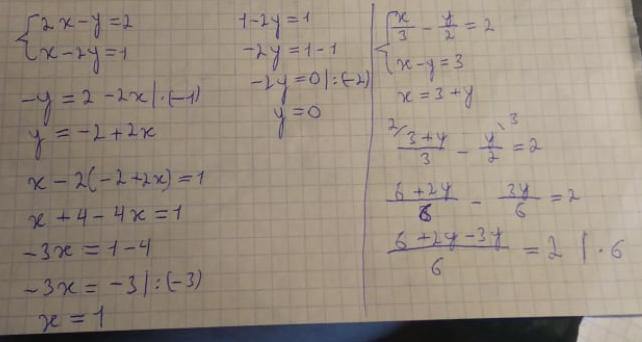
Ответ:
а) x=1 y=0
б) y=-6 x=-3
Объяснение:
На фотографиях.
Если что-то не понятно спроси, пожалуйста, я отвечу.
Приложения:
dimauchenik654454:
Исправил первую фотографию. На ней изначально не было видно икса.
Автор ответа:
1
а)
2х-у=2
х-2у=1 умножим на -2
------
2х-у=2 (1)
-2х+4у=-2 сложим
-------
3у=0; у=0 подставим в (1)
2х=2; х=1
ответ: (1; 0)
б)
х/3 - у/2=2 умножим на 6
х-у=3 (1) умножим на -2
------
2х - 3у=12
-2х + 2у=-6 сложим
------
-у=6; у=-6 подставим в (1)
х+6=3; х=-3
ответ: (-3; -6)
Похожие вопросы
Предмет: Английский язык,
автор: Dan4ik108
Предмет: Русский язык,
автор: huntermyname
Предмет: Русский язык,
автор: danilen2003
Предмет: Биология,
автор: vladimir1235