Предмет: Математика,
автор: vladrov
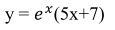
Найти производную функции у:
Приложения:
Ответы
Автор ответа:
1
Ответ:
y'=e^x(5x+7)+5*e^x
Пошаговое объяснение:
Автор ответа:
1
Ответ:
Пошаговое объяснение:
y=eˣ(5x+7)
y'=[eˣ(5x+7)]'=eˣ(5x+7)+ eˣ(5x+7)'=eˣ(5x+7)+5eˣ=eˣ(5x+12)
Похожие вопросы
Предмет: Другие предметы,
автор: ВИКУЛЬКА2003
Предмет: Русский язык,
автор: dasha0646497
Предмет: Русский язык,
автор: Аноним
Предмет: Алгебра,
автор: dmax2