Предмет: Математика,
автор: intrresnyivoposs
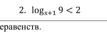
Помогите,пожалуйста Логарифмические неравенства
Приложения:
Ответы
Автор ответа:
0
Ответ:
фото прикрепляю.
Пошаговое объяснение:
жду вопросы)
Приложения:
Похожие вопросы
Предмет: Русский язык,
автор: yuri1987
Предмет: Русский язык,
автор: Башмачок
Предмет: Русский язык,
автор: касабланка1
Предмет: История,
автор: burovmaksim3