Предмет: Математика,
автор: djjdnddn88
ПОЖАЛУЙСТА ПОМОГИТЕ С МАТЕМАТИКООООООООЙ
20 БАЛЛОВ!!!!!!!!!!!!!!!!!!!!!!!
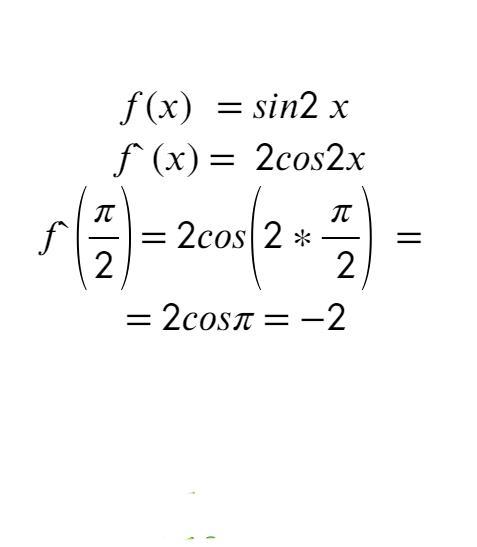
Вычислите значение производной функции в заданной f(x) =sin2 x при x=п/2
Ответы
Автор ответа:
1
Ответ:
Пошаговое объяснение:
Приложения:
Похожие вопросы
Предмет: Русский язык,
автор: LyHappу
Предмет: Русский язык,
автор: hellokitty20051
Предмет: Русский язык,
автор: ahketa111
Предмет: Биология,
автор: mya2001
Предмет: Геометрия,
автор: SunRise1337a