Предмет: Математика,
автор: langlidiyap6r7g2
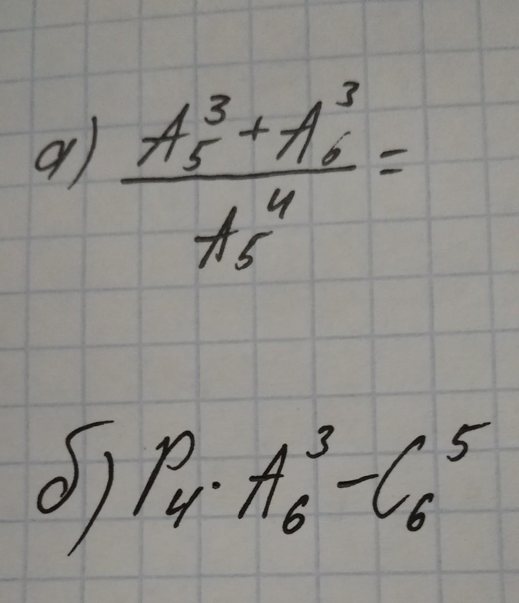
пожалуйста очень нужна помощь, вычислить
Приложения:
Ответы
Автор ответа:
1
Ответ:
а) 1,5
б) 2874
...............
формулы и подробное решение смотри на фото
................
была рада помочь)
Приложения:
langlidiyap6r7g2:
спасибо большое
Похожие вопросы
Предмет: Українська мова,
автор: markinanataliy2
Предмет: Английский язык,
автор: karaliyf
Предмет: Русский язык,
автор: Alvinasalamovaa1
Предмет: Математика,
автор: gdj4
Предмет: Биология,
автор: патимат59