Предмет: Математика,
автор: magistr57
помогите решить распишите пожалуйста
Приложения:
Ответы
Автор ответа:
0
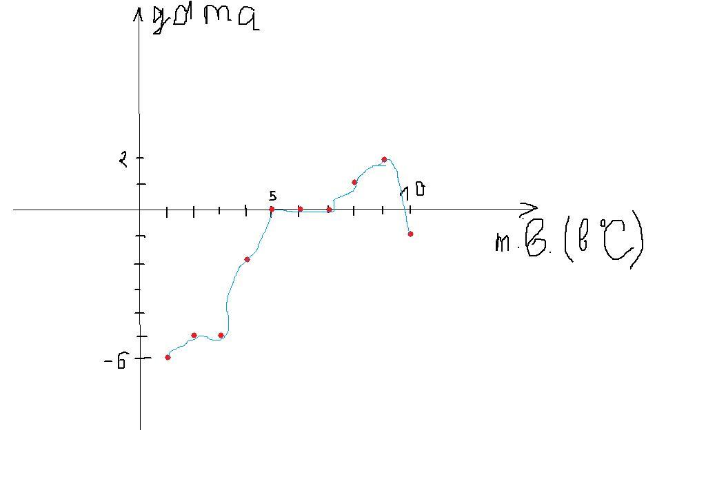
Ответ:
график на рисунке
Пошаговое объяснение:
Приложения:
Похожие вопросы
Предмет: Русский язык,
автор: katyapjanova
Предмет: Русский язык,
автор: alisal2007
Предмет: Другие предметы,
автор: Ангелина92003
Предмет: История,
автор: Mans095