Предмет: Математика,
автор: doronkin2003
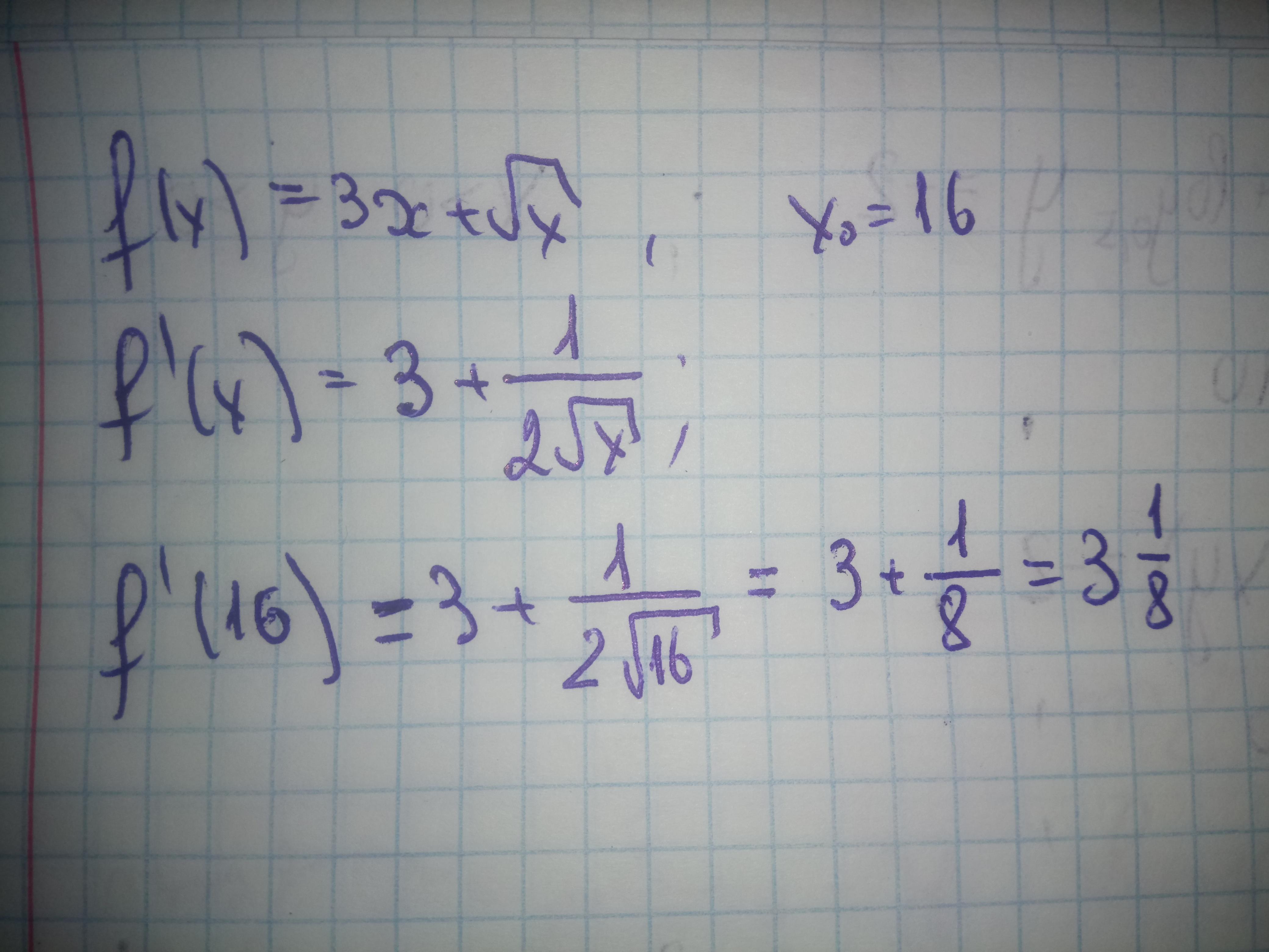
Найдите значение производной функции f(x) = 3x + √x при х = 16.
Simba2017:
пишите правильно!
К сожаления условие задачи написано неверно. √ из чего?
Ответы
Автор ответа:
1
Решение задания прилагаю
Приложения:
Доброго времени суток! Не могли бы мне помочь?
https://znanija.com/task/37724724?utm_source=android&utm_medium=share&utm_campaign=question
https://znanija.com/task/37724724?utm_source=android&utm_medium=share&utm_campaign=question
Похожие вопросы
Предмет: Русский язык,
автор: qetiz
Предмет: Українська мова,
автор: rison69
Предмет: Українська мова,
автор: 171Vlad171
Предмет: Математика,
автор: rozzeta566
Предмет: Математика,
автор: Аноним