Предмет: Алгебра,
автор: CastielAngelOfLord
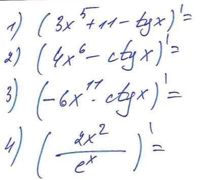
Помогите пожалуйста
Математичка вообще ничего не объясняет(
Приложения:
Ответы
Автор ответа:
1
Ответ:
Объяснение:надеюсь все правильно
Приложения:
Похожие вопросы
Предмет: Русский язык,
автор: фуя
Предмет: Русский язык,
автор: serklaus
Предмет: Русский язык,
автор: Freeman229
Предмет: Математика,
автор: tanecka111