Предмет: Алгебра,
автор: Аноним
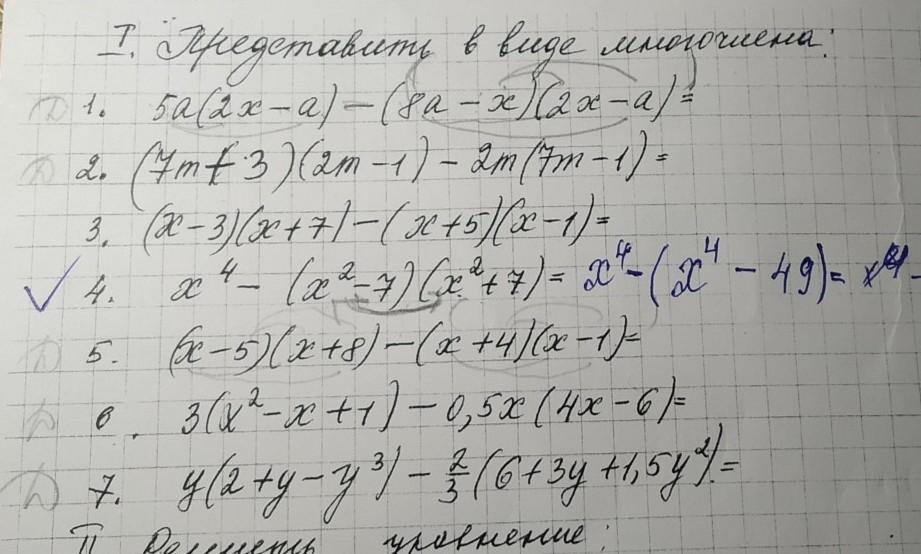
ПОЖАЛУЙСТА СРОЧНО. РЕШИТЕ ВСЕ ЗАДАНИЯ КРОМЕ 4 ЗАДАНИЕ.
4 ЗАДАНИЕ Я УЖЕ СДЕЛАЛ
Приложения:
Ответы
Автор ответа:
1
Решение во вложении
__________________________
Приложения:
Похожие вопросы
Предмет: Русский язык,
автор: mariyat1980
Предмет: Русский язык,
автор: ВадимВолох
Предмет: Русский язык,
автор: CAT144
Предмет: Математика,
автор: Alvesgamer
Предмет: Информатика,
автор: Оля123315