Предмет: Математика,
автор: adeleks00
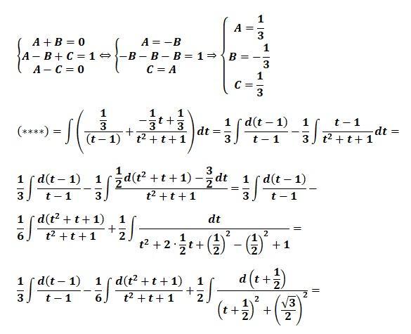
Исследовать сходимость несобственного интеграла
Приложения:
Ответы
Автор ответа:
0
Ответ:
Пошаговое объяснение: решение в файле
Приложения:
Похожие вопросы
Предмет: Русский язык,
автор: Savenkov1122005
Предмет: Русский язык,
автор: irina081077
Предмет: Русский язык,
автор: irina081077
Предмет: Химия,
автор: kovalkonstantin44277
Предмет: Алгебра,
автор: adeliya1000