Предмет: Алгебра,
автор: djdfyrhenjq
нужно решить поможыте
Приложения:
Ответы
Автор ответа:
0
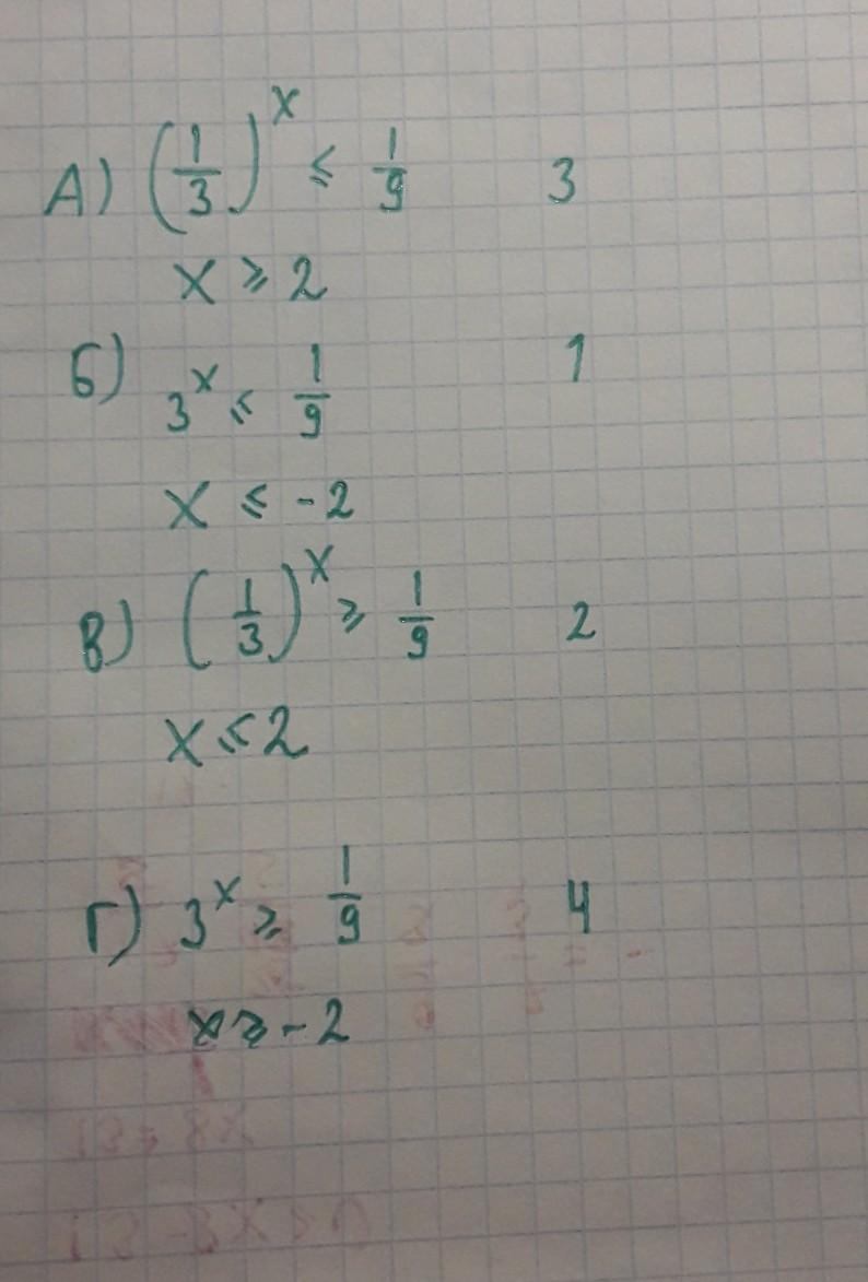
А 3
Б 1
В 2
Г 4
вот так вот на фотке
Приложения:
olgaraschupkina02:
зачем ты знаки в А и В поменял? не нужно этого делать
сами посмотрите в 1 например: если х=3, то дробь 1/9>1/27
а если два то: 1/9=1/9
Похожие вопросы
Предмет: Русский язык,
автор: ivanqhe
Предмет: Русский язык,
автор: котиk
Предмет: Русский язык,
автор: 7dtula
Предмет: Биология,
автор: ARABKA123321