Предмет: Математика,
автор: temirlantolegen01
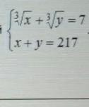
Решите систему уравнений
Приложения:
Ответы
Автор ответа:
0
Ответ:
x=216
y=1
Проверка:
{³√216+³√1=6+1=7
{216+1=217
Похожие вопросы
Предмет: Русский язык,
автор: slonik7676
Предмет: Русский язык,
автор: Deadpoolll
Предмет: Русский язык,
автор: sofa08
Предмет: Математика,
автор: oliga87bistrja
Предмет: Математика,
автор: PustovoyElisey