Предмет: Математика, автор: rijdffiekde

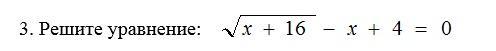
решите уравнение
Срочно нужно, спасибо заранее

Приложения:

Ответы

Автор ответа: drugon46
1

Ответ:

x = 9

Пошаговая инструкция:

\sqrt{x+16}-x + 4 = 0 \\\sqrt{x+16} = x + 4\\x + 16 = x^{2} -8x + 16\\x = x^{2}  - 8x\\x - x^{2} + 8x = 0\\9x - x^{2} = 0 \\x = 0, x = 9\\


roefldcldcmek: не нужно ничего чертить?
drugon46: тебе график нужен?
drugon46: Ox - 9 Oy - 8 и прямой соединить. Вот, это если график нужен будет
roefldcldcmek: Не понял
drugon46: Щас фото прикреплю
roefldcldcmek: Спасибо
drugon46: чё то не хочет, здесь можно и без графика сделать
roefldcldcmek: График какой идет где y и x&
roefldcldcmek: Или какой
drugon46: График линейной фнкции.
Похожие вопросы
Предмет: Алгебра, автор: saskewic4