Предмет: Химия,
автор: dima23ilushkin
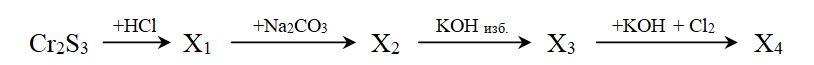
Составьте уравнения реакций, соответствующие следующей цепочке превращений соединений хрома, протекающих в водных растворах:
В ответ выпишите простейшие формулы X1–X4 через запятую (например: O2, N2).
Приложения:
Ответы
Автор ответа:
2
Ответ:
CrCl3, Cr(OH)3, K3[Cr(OH)6], K2CrO4
Похожие вопросы
Предмет: Русский язык,
автор: asifagaev
Предмет: Русский язык,
автор: abnizova
Предмет: Русский язык,
автор: zolotareva112
Предмет: Математика,
автор: арииииина
Предмет: Обществознание,
автор: bichckowaolgа13