Предмет: Математика,
автор: fdgfgfddfgfdg
Помогите пожалуйста решить, очень вас прошу
Приложения:
Ответы
Автор ответа:
0
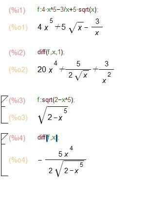
Ответ:
Пошаговое объяснение:
Ответы на рисунке
Приложения:
fdgfgfddfgfdg:
Спасибо огромное
Похожие вопросы
Предмет: Другие предметы,
автор: mille76
Предмет: Русский язык,
автор: Саша100000
Предмет: Другие предметы,
автор: дринара1222
Предмет: Математика,
автор: narekdavid84
Предмет: История,
автор: video2014