Предмет: Математика,
автор: Wishic
40 Баллов Помогите
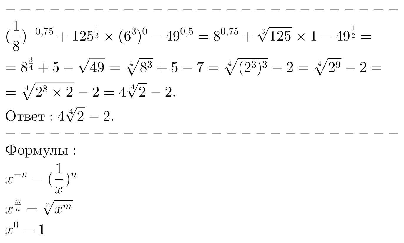
Вычислите: (1/8)^−0,75+125^1/3∙ (6^3)^0− 49^0,5
Фото:
Приложения:
Ответы
Автор ответа:
2
Ответ:
на фото
Пошаговое объяснение:
Приложения:
Wishic:
Спасибо <3
Автор ответа:
1
~~~~~~~~~~~~~~~~~~~~~
Приложения:
Похожие вопросы
Предмет: Русский язык,
автор: stokmen
Предмет: Русский язык,
автор: voykinaИрина
Предмет: Қазақ тiлi,
автор: Аноним
Предмет: Литература,
автор: denroslyakov2343
Предмет: Химия,
автор: Jillwatch