Предмет: Математика,
автор: gilgfgr
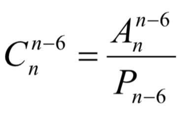
Докажите, что (Комбинаторика!!)
Приложения:
Ответы
Автор ответа:
1
..............................
Приложения:
gilgfgr:
спасибо тебе!!! с:
Похожие вопросы
Предмет: Русский язык,
автор: lilitjorikovna
Предмет: Английский язык,
автор: тто
Предмет: Русский язык,
автор: Аноним
Предмет: Литература,
автор: milana302