Предмет: Математика,
автор: Сорин
Помогите сделать задания по высшей математике! 50 баллов
Приложения:
Ответы
Автор ответа:
2
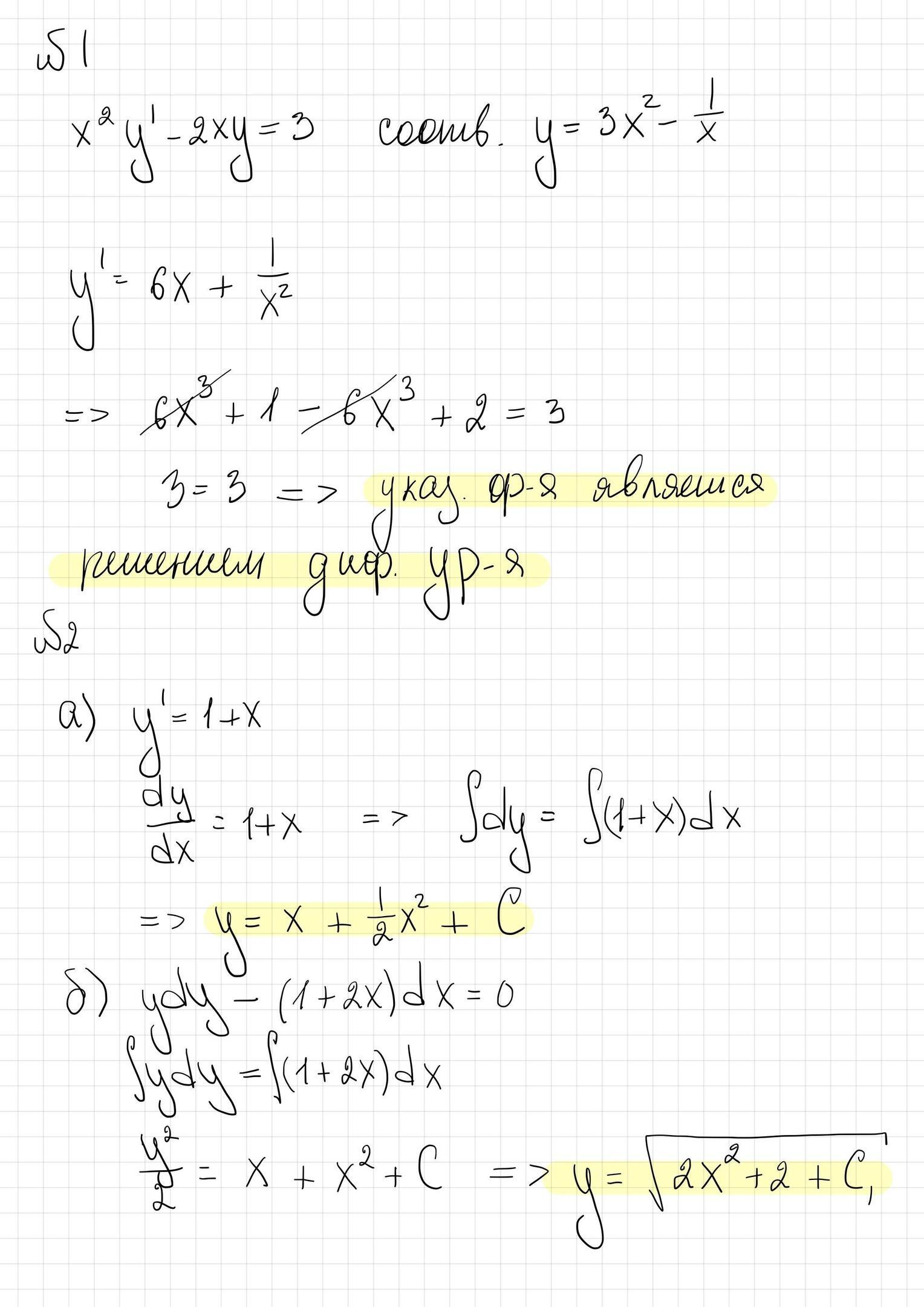
Решение билета прикладываю в виде фотографии
Приложения:
Сорин:
Спасибо
Похожие вопросы
Предмет: Русский язык,
автор: Vipaikaaa
Предмет: Русский язык,
автор: данил221220032
Предмет: Русский язык,
автор: monicasimonyan
Предмет: Математика,
автор: арина1267
Предмет: Математика,
автор: лгаеашлз