Предмет: Алгебра,
автор: iratimoshkina45848
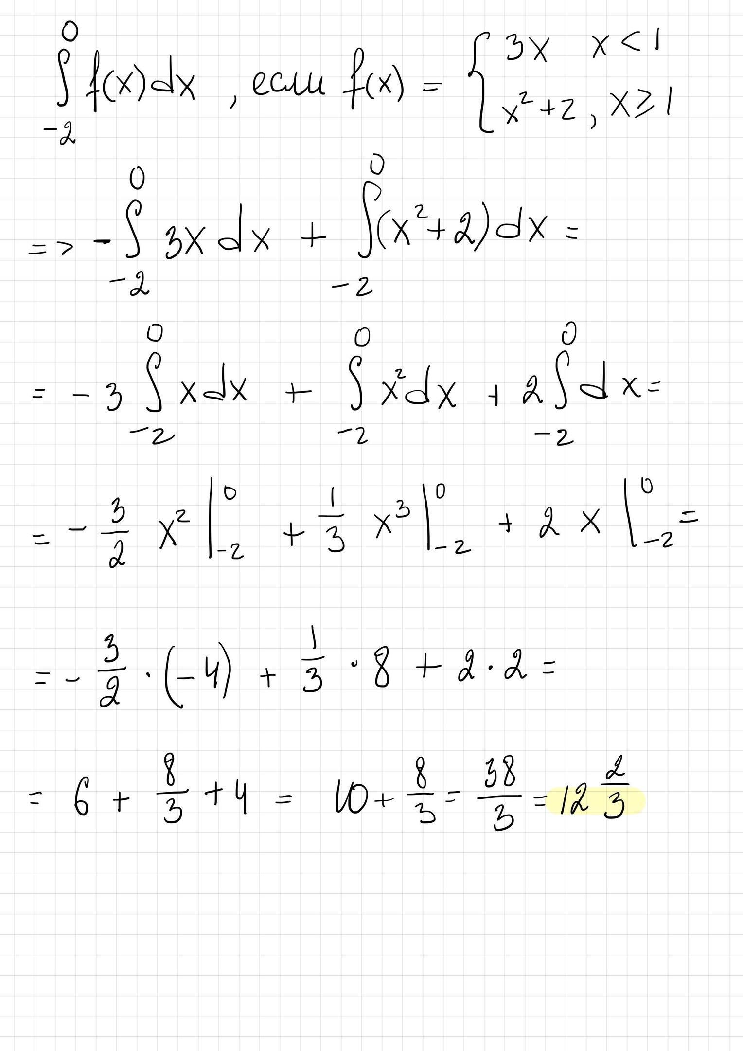
Найти интеграл , помогите пожалуйста
Приложения:
Ответы
Автор ответа:
0
Решение прикрепляю в виде фотографии
Приложения:
iratimoshkina45848:
Спасибо, но ответ должен получится 6
Похожие вопросы
Предмет: Русский язык,
автор: lubava5gim
Предмет: Русский язык,
автор: Аноним
Предмет: Русский язык,
автор: imperator9623
Предмет: История,
автор: yulyakudinova1
Предмет: История,
автор: lej202