Предмет: Алгебра,
автор: SCHELKUNOVA
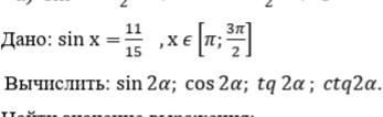
УМОЛЯЮ ПОМОГИТЕ ПОЖАЛУЙСТА
Приложения:
Ответы
Автор ответа:
0
Ответы с решениями на фотографиях
Приложения:
Похожие вопросы
Предмет: Русский язык,
автор: irina2002321
Предмет: Русский язык,
автор: Юлька19082003
Предмет: Другие предметы,
автор: serzhpapshoy
Предмет: Математика,
автор: Lilu700