Предмет: Алгебра,
автор: anycika31
Дифференциальная уравнения 4.2
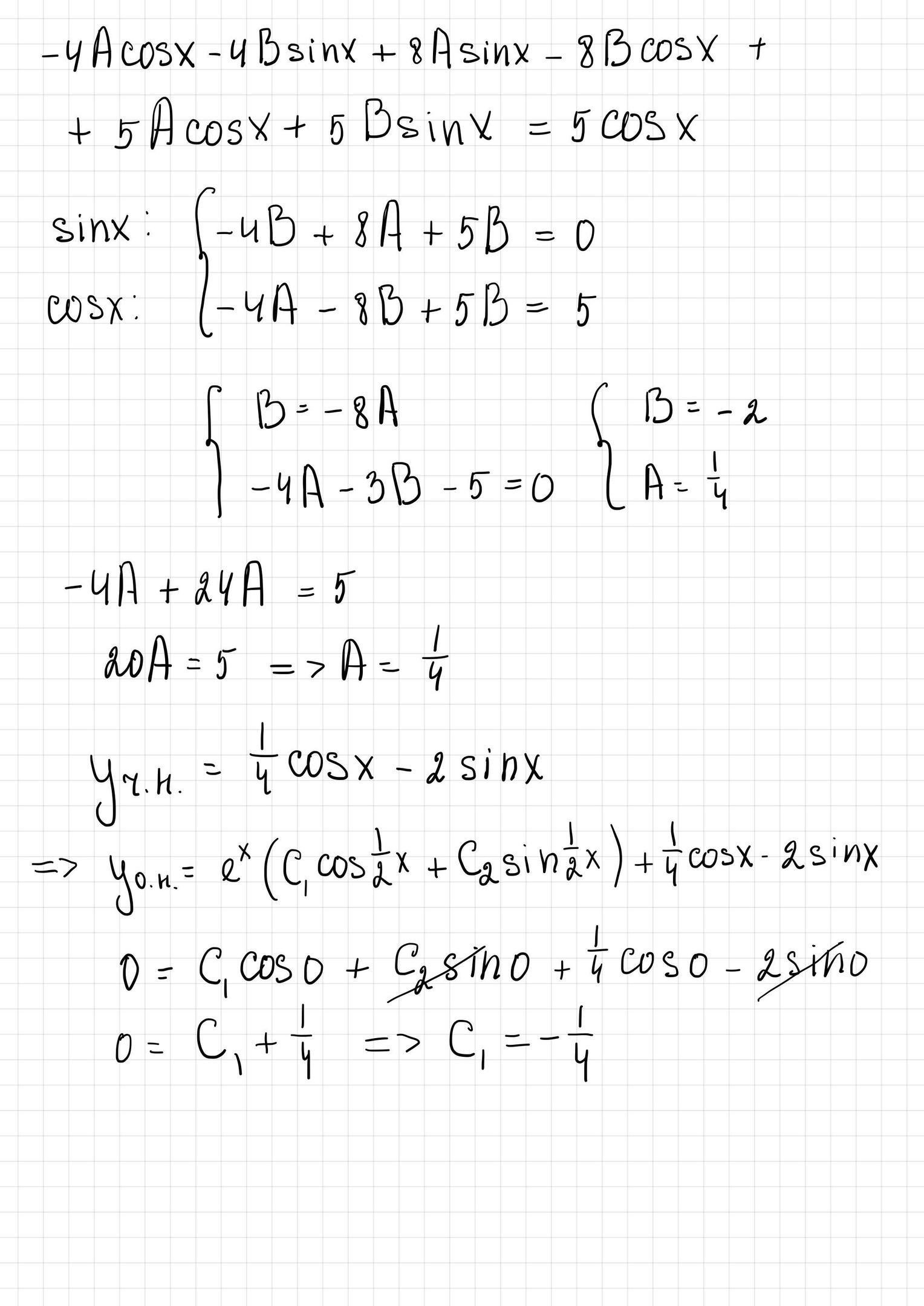
4y''-8y'+5y=5cos(x), y(0)=0, y'(0)=-1/13
Приложения:
Ответы
Автор ответа:
1
Решение прикрепляю в формате фото
Приложения:
anycika31:
я не русская, скажите пожалуйста что означает о.о о.н. ч.н. ?
О. О. = общее решение однородного линейного дифференциального уравнения; Ч. Н. = частное решение неоднородного линейного дифференциального уравнения. О.Н= общее решение неоднородного линейного дифференциального уравнения
спасибо вам большое
Похожие вопросы
Предмет: Русский язык,
автор: Злата1996
Предмет: Русский язык,
автор: kostareva2001
Предмет: Русский язык,
автор: шарик2002
Предмет: Математика,
автор: Zhaniya1111
Предмет: Обществознание,
автор: podgainiyroma