Предмет: Геометрия,
автор: camasper
Математика, ЗНО-2019
очень сильно туплю в прогрессиях
Приложения:
camasper:
большое спасибо за объяснение
Ответы
Автор ответа:
2
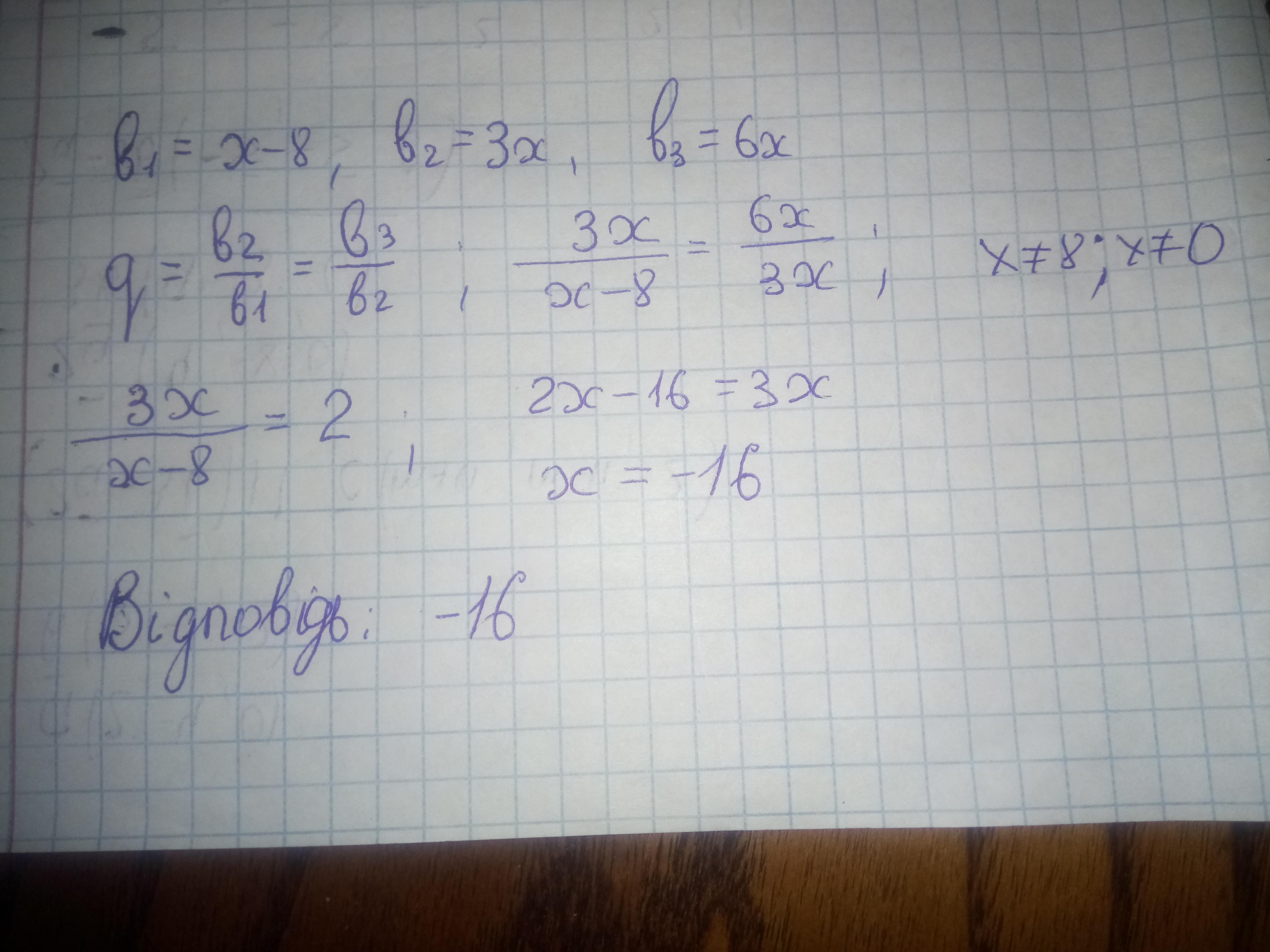
Відповідь: - 16;
знаменник геометричноi прогресii це вiдношення наступного члена ГП на попереднiй.
Приложения:
Похожие вопросы
Предмет: Русский язык,
автор: tanzilya00
Предмет: Русский язык,
автор: Lera1339
Предмет: Английский язык,
автор: tatiana83
Предмет: Математика,
автор: Luda2001
Предмет: История,
автор: bmv198282