Предмет: Алгебра,
автор: kvantam45
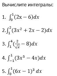
Пожалуйста, кто умеет решать интегралы,решите очень нужно!!!!!
Приложения:
Ответы
Автор ответа:
1
Решение уравнений прикрепляю в виде фотографии
Приложения:
Похожие вопросы
Предмет: Українська мова,
автор: отчан
Предмет: Английский язык,
автор: katisharipova
Предмет: Русский язык,
автор: laramelyohina
Предмет: Математика,
автор: irinasevostian
Предмет: Математика,
автор: annaprutckikhAnna