Предмет: Математика,
автор: dima1euhfiulgiweofug
55 Баллов!! Срочно решить задание на фото
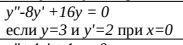
1) Найти частное решение диффренциального уравнения
2)Найти общее решение диффренциального уравнения
Приложения:
Ответы
Автор ответа:
1
Ответ:
1.
2.
Пошаговое объяснение
1. Ищем решение в виде exp(B*x), где В - корень уравнения
В^2-8B+16=(B-4)^2=0 B=4
Так как характеристическое уравнение это полный квадрат, то общий вид решения будет
exp(4x)(k1+k2x)
k1 и k2 находим из начальных условий
x=0 y=3=> k1=3
x=0 y'=4*k1+k2=2 =>k2=-10
Ответ: exp(4x)(3-10x)
1. Ищем решение в виде exp(B*x), где В - корень уравнения
В^2+4B+9=0
B1=-2-sqrt(5)*i
B2=-2+sqrt(5)*i
(i- мнимая единица)
Общий вид решения exp(-2x)*(k1*sin(sqrt(5)x)+k2*cos(sqrt(5)x))
Похожие вопросы
Предмет: Русский язык,
автор: kuropatkinaole
Предмет: Русский язык,
автор: Аноним
Предмет: Русский язык,
автор: 514556
Предмет: Математика,
автор: kim2024901