Предмет: Математика,
автор: Stefanuch
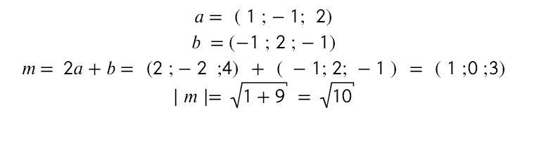
Модуль вектора m=2a+b, де a=i-j+2k, b=-j+2j-k дорівнює:
а) 10 б)√10 в) 2 г)√26
Розписать ответ СРОЧНО!!
Ответы
Автор ответа:
1
Ответ:
Файл :
Пошаговое объяснение:
Приложения:
Похожие вопросы
Предмет: Русский язык,
автор: pigina2004
Предмет: Русский язык,
автор: vhgdggb
Предмет: Русский язык,
автор: ryzhova1975
Предмет: География,
автор: Пуся3111
Предмет: Биология,
автор: Димаййй