Предмет: Математика, автор: MCznayka

Срочно! Даю 50 баллов!
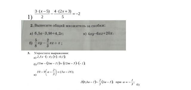
Задание на фото.

Приложения:

Ответы

Автор ответа: alesyaperova
1

Ответ:

1) \frac{3(x - 5)}{2}  -  \frac{4(2x + 3)}{5}  =  - 2  \\ 5 \times 3(x - 5) - 4 \times 2(2x + 3) =  \\  - 2 \times 10

15(x - 5) - 8(2x + 3) =  - 20 \\ 15x - 75 - 16x - 24 =  - 20

 - x - 99 =  - 20 \\ -  x =  - 20 + 99 \\  - x = 79 \\ x =  - 79

2)

a)

 \frac{1}{10} (65a - 39b + 42c)

Б)

x( \frac{5}{8} y -  \frac{2}{3} z + 1)

В)

2x(2y - 3z + 10)

3)

а)ху

Б)

15m - 3m + 11 - 12m + 5 =  \\ 16

10 - 9a + 6 + 5a - 16 =  \\  - 4a

В)

0.3a - t - 1.2a + 2 =  \\  - 0.9a - t + 2 =  \\  -  \frac{9}{10}  \times ( -  \frac{1}{3} ) - t + 2 =

 =  \frac{7}{10}  - t = 0.7 - t

Последний не понимаю

Автор ответа: Аноним
0

Ответ:дайте две мин. поставить ответ, никак не грузится.

Пошаговое объяснение:

Приложения:
Похожие вопросы