Предмет: Алгебра,
автор: Аноним
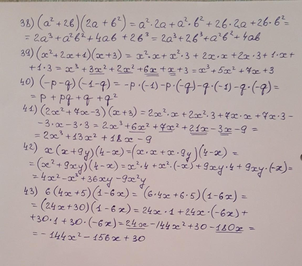
Раскрыть скобки с решением
c решением где отмечен синим
Приложения:
lakOR555:
Только 39 номер?
да
Ответы
Автор ответа:
1
Ответ:
х³+5х²+7х+3
Объяснение:
Х²×х+2х×х+1×х+3×х²+3×2х+3×1=
=Х³+2х²+х+3х²+6х+3=х³+5х²+7х+3
Автор ответа:
1
Ответ:
Раскрыть скобки......
Приложения:
ВАУ спасибо большое
Так много я просила только 39 спасибо вам большое
Похожие вопросы
Предмет: Русский язык,
автор: tatyanasehu
Предмет: Қазақ тiлi,
автор: 87777777777777
Предмет: Русский язык,
автор: vipmariaivano
Предмет: Математика,
автор: PrIzRoK5252
Предмет: Химия,
автор: liza262626