Предмет: Алгебра, автор: limooonchok

Помогите решить это задание (Фото)

Приложения:

Ответы

Автор ответа: Иветта6А
2

Ответ:

(4;9),(9;4)

Объяснение:

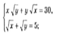
\left \{ {{x\sqrt{y} + y\sqrt{x} = 30} \atop {\sqrt{x}+\sqrt{y} = 5}} \right. \\\left \{ {{\sqrt{xy}(\sqrt{x} +\sqrt{y} ) = 30} \atop {\sqrt{x}+\sqrt{y} = 5}} \right.\\

Подставим в первое уравнение:

5\sqrt{xy}=30\\\sqrt{xy}=6\\\left \{ {{\sqrt{x}+\sqrt{y}=5} \atop {\sqrt{xy}=6}} \right. \\\left \{ {{\sqrt{x} = 2} \atop {\sqrt{y}=3}} \right.или \left \{ {{\sqrt{x} = 3} \atop {\sqrt{y}=2}} \right. (по теореме Виета)

x = 4, y = 9 или x = 9, y = 4

Похожие вопросы
Предмет: Биология, автор: анастейша45