Предмет: Математика, автор: vvalleraa

Найти частные производные для функции , заданной неявно....(100б)

Приложения:

Ответы

Автор ответа: NNNLLL54
0

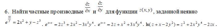
1)\ \ e^{\frac{xz}{y}}=2x^2+y-z^3\ \ ,\ \ \ F(x,y,z)=e^{\frac{xz}{y}}-2x^2-y+z^3\\\\F'_{x}=e^{\frac{xz}{y}}\cdot \dfrac{z}{y}-4x\ \ ,\ \ \ F'_{y}=e^{\frac{xz}{y}}\cdot \frac{-xz}{y^2}-1\ \ ,\ \ F'_{z}=e^{\frac{xz}{y}}\cdot \dfrac{z}{y}+3z^2\\\\\\z'_{x}=-\dfrac{F'_{x}}{F'_{z}}=-\dfrac{z\cdot e^{\frac{xz}{y}}-4xy}{e^{\frac{yz}{y}}\cdot z+3yz^2}\ \ \ ,\ \ \ z'_{y}=-\dfrac{F'_{y}}{F'_{z}}=\dfrac{xze^{\frac{xz}{y}}+y^2}{y\cdot (z\cdot e^{\frac{xz}{y}}+3yz^2)}

2)\ \ e^{z-x}=2z^3+2x^2-3x^5y^4\ \ ,\ \ F(x,y,z)=e^{z-x}-2z^3-2x^2-3x^5y^4\\\\\\F'_{x}=-e^{z-x}-4x-15x^4y^4\ \ ,\ \ \ F'_{y}=-12x^5y^3\ \ ,\ \ F'_{z}=e^{z-x}-6z^2\\\\\\z'_{x}=\dfrac{e^{z-x}+4x+15x^4y^4}{e^{z-x}-6z^2}\ \ ,\ \ \ \ z'_{y}=\dfrac{12x^5y^3x}{e^{z-x}-6z^2}

3)\ \ e^{z-x}=2z+x^2+3x^6y^4\\\\(e^{z-x})'_{x}=(2z+x^2+3x^6y^4)'_{x}\\\\e^{z-x}\cdot (z'_{x}-1)=2z'_{x}+2x+18x^5y^4\\\\z'_{x}\cdot (e^{z-x}-2)=2x+18x^5y^4+e^{z-x}\ \ ,\ \ \ z'_{x}=\dfrac{2x+18x^5y^4+e^{z-x}}{e^{z-x}-2}\\\\\\(e^{z-x})'_{y}=(2z+x^2+3x^6y^4)'_{y}\\\\e^{z-x}\cdot z'_{y}=2z'_{y}+12x^6y^3\\\\z'_{y}\cdot (e^{z-x}-2)=12x^6y^3\ \ ,\ \ \ \ z'_{y}=\dfrac{12x^6y^3}{e^{z-x}-2}

4)\ \ ln(z+x-2y^2)=z^2+2x^2y^4-2zx\\\\\dfrac{z'_{x}+1}{z+x-2y^2}=2z\cdot z'_{x}+4xy^4-2z-2x\cdot z'_{x}\ \ ,\\\\z'_{x}\cdot (\dfrac{1}{z+x-2y^2}-2z+2x)=4xy^4-2z-\dfrac{1}{z+x-2y^2}\\\\\\z'_{x}=\dfrac{(4xy^4-2z)(z+x-2y^2)-1}{1-2(z-x)(z+x-2y^2)}

\dfrac{z'_{y}-4y}{z+x-2y^2}=2z\cdot z'_{y}+8x^2y^3-2x\cdot z'_{y}\\\\z'_{y}\cdot (\dfrac{1}{z+x-2y^2}-2z-2x)=8x^2y^3+\dfrac{4y}{z+x-2y^2}\\\\\\z'_{y}=\dfrac{8x^2y^3(z+x-2y^2)+4y}{1-2(z+x)(z+x-2y^2)}

Похожие вопросы
Предмет: Русский язык, автор: rahtom
Предмет: Математика, автор: flelf