Предмет: Алгебра, автор: kkondratink2202

Помогите решить 20 баллов

Приложения:

Ответы

Автор ответа: xgamerxpowerp9qy5j
0

Ответ:

на фото

Объяснение:

Приложения:
Автор ответа: Aspirant2022
0

Ответ:

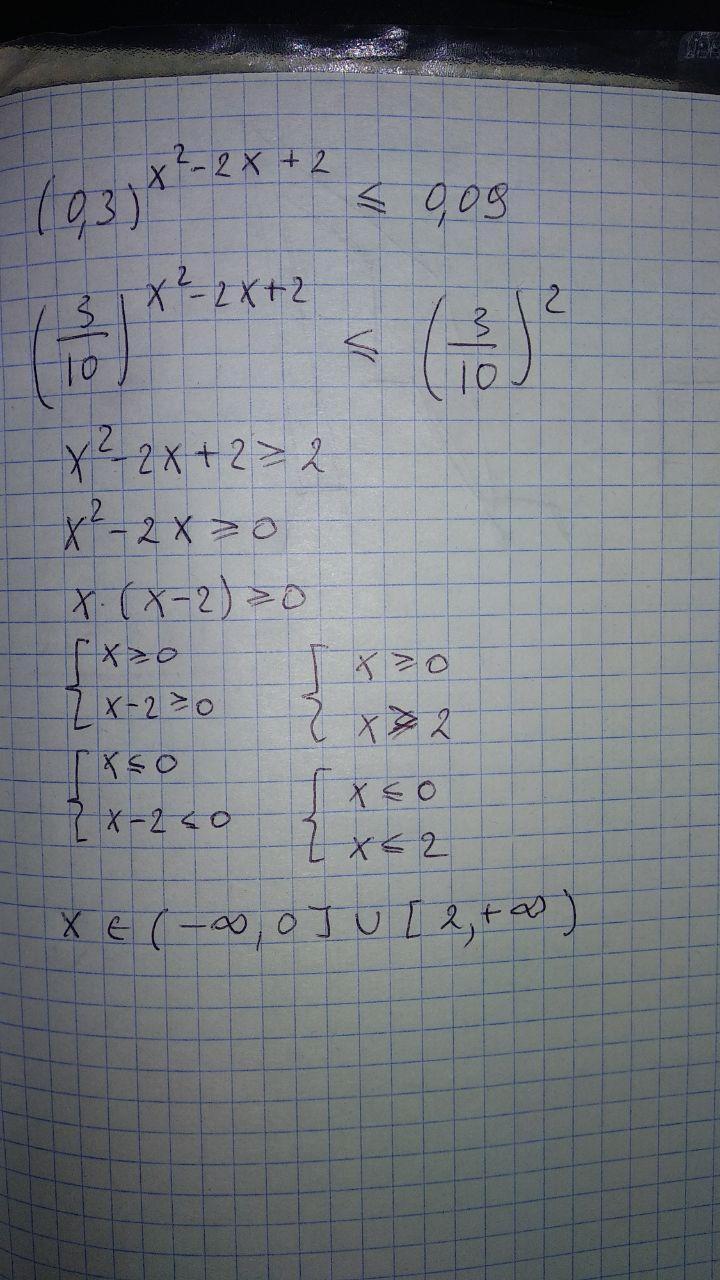
x∈(-∞;0]∪[2;+∞)

Объяснение:

(0,3):{x^2-2x+2}\leq0,09\\(\frac{3}{10})^{x^2-2x+2}\leq(\frac{3}{10})^2\\x^2-2x+2\geq2\\x^2-2x+2-2\geq0\\x^2-2x\geq0\\x(x-2)\geq0\\ \left \{ {{x\geq =0} \atop {x-2\geq0}} \right. \\\left \{ {{x\geq =0} \atop {x\geq 2}} \right.

Приложения:
Похожие вопросы
Предмет: Українська мова, автор: saha2007
Предмет: Русский язык, автор: amizeriya
Предмет: Русский язык, автор: natalia552