Предмет: Алгебра,
автор: parolnaclash
Обчислити інтеграл.Срочно.Даю 100 балов
Приложения:
Ответы
Автор ответа:
1
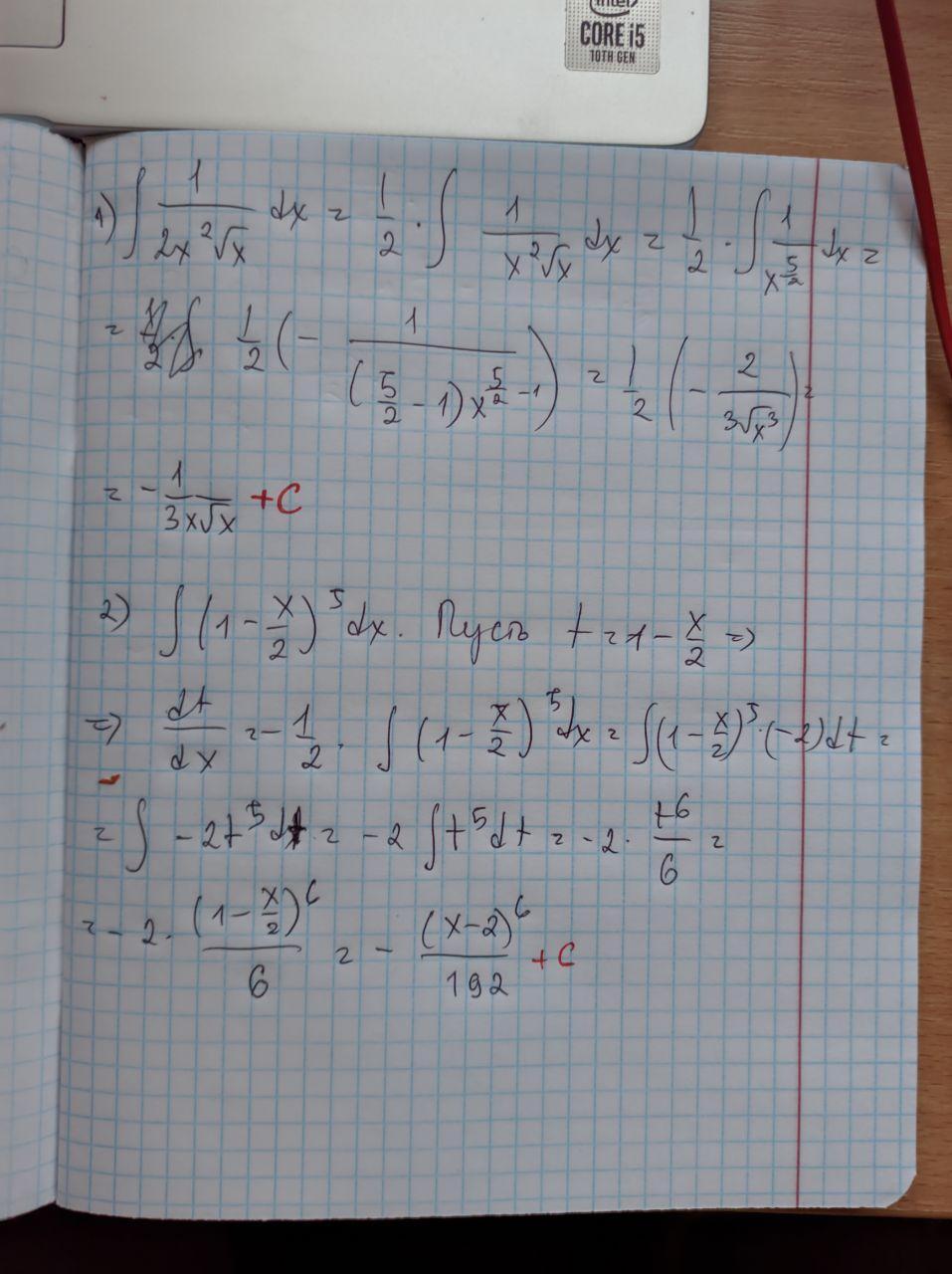
Ответ:
1) -1/3x sqrt (x) + С
2) -(x-2)^6/192 + С
Объяснение:
Приложения:
Автор ответа:
0
Ответ:======
Объяснение:во вложении
Приложения:
Похожие вопросы
Предмет: Русский язык,
автор: sevdanil
Предмет: Русский язык,
автор: Котэ2222
Предмет: Английский язык,
автор: Eglor165
Предмет: Алгебра,
автор: olechka123321